yl9193永利集团(中国)有限公司-官方网站
设为首页
|
加入收藏
|
联系我们
关于我们
yl9193永利集团简介
经理寄语
公司领导
联系方式
资讯中心
yl9193永利集团新闻
通知公告
学术活动
团队力量
专职教师
兼职教师
教学教务
本科生
研究生
博士生
双学位
职工
LLM
科学研究
北外法学
科研成果
研究中心
知识产权研究中心
英美法研究中心
国际廉政法制研究中心
中外教育法研究中心
中国企业走出去战略中心
中非法律研究中心
校园生活
团总支
员工会
研究生会
丽泽法律社
知识产权服务站
人才招聘
教学科研岗
全职教学岗
外籍专家(长、短期)
行政专员
Visiting Scholar
员工资源
员工名录
员工活动
党群共建
党建概述
党建动态
党员发展
工会活动
下载专区
教工专区
员工专区
IP MOOT COURT
Introduction
Previous Competitions
2025 IP MOOT COURT
2024 IP MOOT COURT
2023 IP Moot Court
2022 IP MOOT COURT
2021 IP MOOT COURT
2019 IP MOOT COURT
2018 IP MOOT COURT
PREVIOUS COMPETITION
2026 IP MOOT COURT
关于我们
>
资讯中心
>
通知公告
>
正文
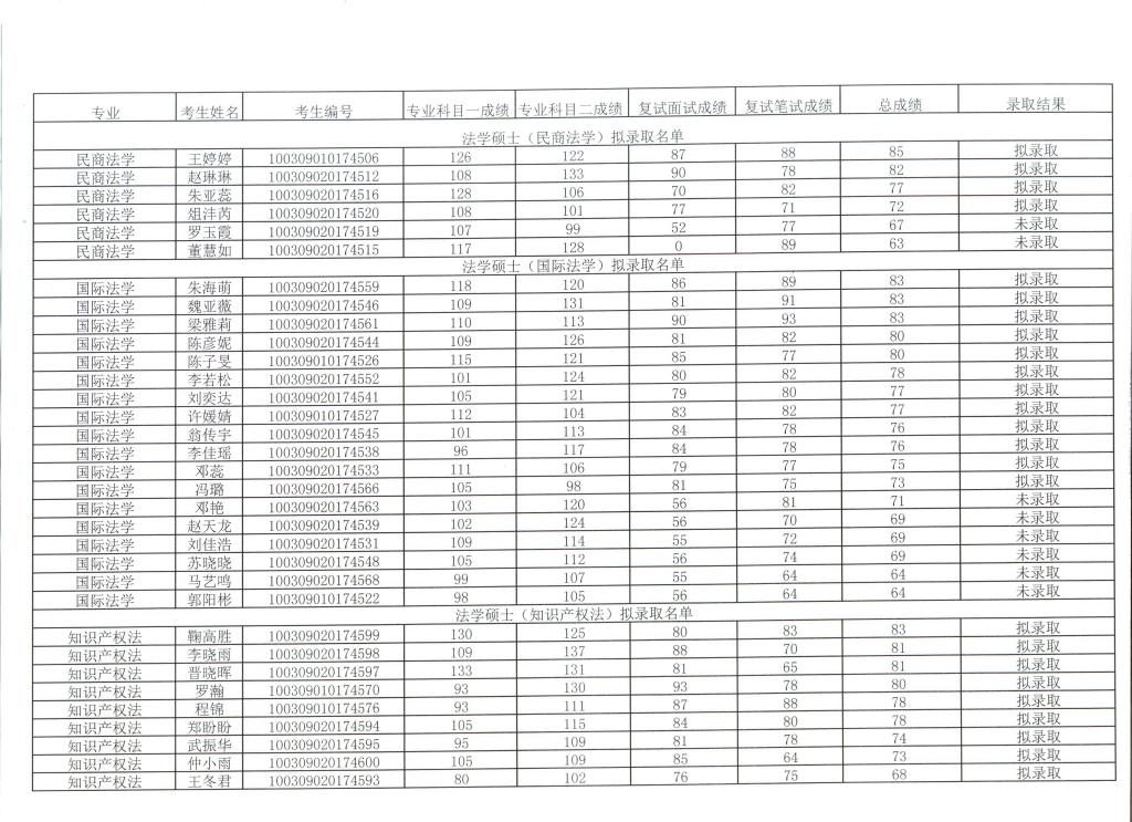
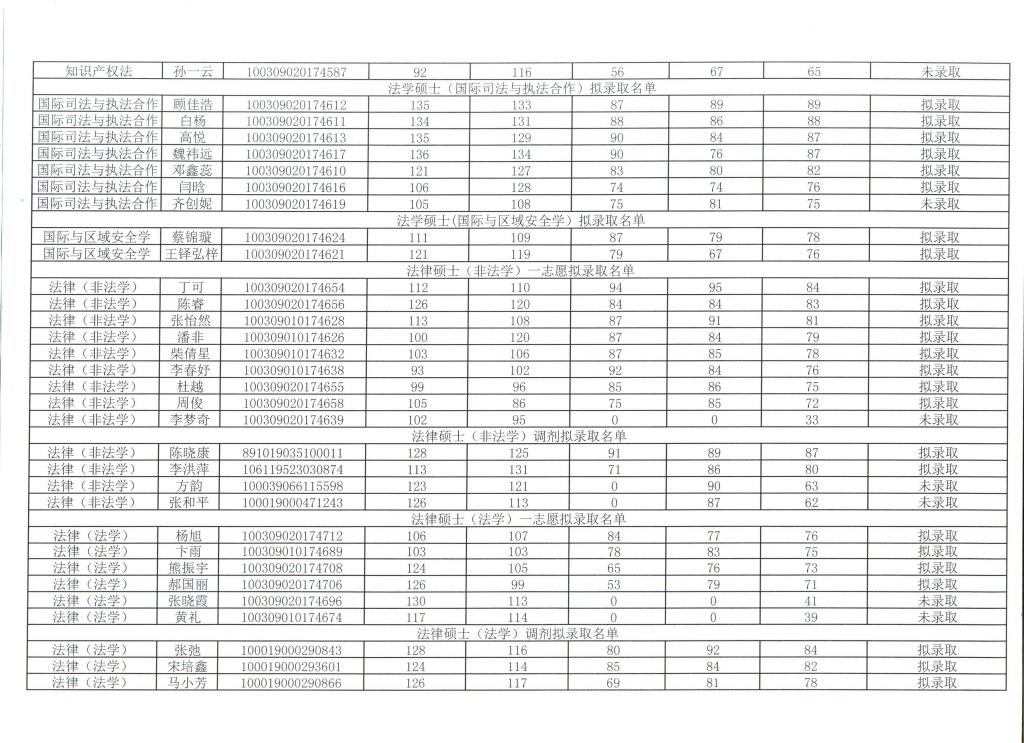
2019年yl9193永利集团硕士研究生拟录取预公示名单
来源:yl9193永利集团
时间:04-04
2019年yl9193永利集团硕士研究生拟录取预公示名单
上一条:
2019年yl9193永利集团硕士研究生拟录取预公示名单
下一条:
2019年yl9193永利集团法律硕士调剂复试名单
分享到: